断裂相场法乃当前固体破坏预测领域之先进方法。该方法在变分法的框架内,依据能量原理,能够自然地模拟裂纹的萌生、扩展、合并乃至分叉等复杂现象。然而,在摩擦等耗散机制存在的情况下,现行理论在进行预测时面临较大挑战。
近期,我校航空学院青年教师冯晔副教授在固体力学旗舰期刊Journal of the Mechanics and Physics of Solids (JMPS)上发表题为《Phase-field model for 2D cohesive-frictional shear fracture: An energetic formulation》的研究论文。

论文doi:https://doi.org/10.1016/j.jmps.2024.105687

图1 直剪与压缩工况下的相场裂纹与变形云图

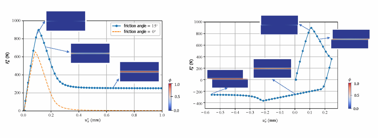
图2 单调加载与往复加载下的摩擦/内聚断裂力学响应
该研究成果基于两个基本的能量原理:能量守恒定律以及作为稳定性条件的变分不等式。通过严谨的推导,研究团队成功地提出了一种适用于摩擦和断裂耦合问题的相场方法。这一新模型在理论和数值模拟方面都显示出其优越性,特别是在预测裂纹的形核时机和方向上,与经典的摩尔–库仑摩擦破坏理论表现出高度的一致性。这为在复杂应力条件下预测材料和结构的破坏提供了一种全新的工具。
在这项研究中,我校航空学院的冯晔副教授担任了论文的第一作者和通讯作者。此外,该研究还得到了来自意大利帕尔马大学的Freddi教授、同济大学的李杰院士以及我校航空学院的马玉娥教授的大力支持和参与,他们作为共同作者为该项成果的完成做出了重要贡献。
(文字:冯晔;审核:李斌)